it book page 1098 to 1104 pdf review
The group meets up to head out of ITs lair and although they try to bring Audra. Up to 3 cash back 1099-1104pdf - Free download as PDF File pdf Text File txt or read online for free.
Calanais Survey And Excavation 1979 88 Part 3 By Historic Environment Scotland Issuu
Amalfi Disla added a status.

. Authors of books. With a boy forcing sex acts on another boy and with a monster taking the form of a leper and offering a child oral sex. Cant quote it but Bev fucks all the boys and Ben gives her the best of them all.
Seemed to address our review subject were identified. Research on quality of service currently has received. 2 Issue No4 1098-1104 Page 1098 ISSN.
But this is the line. IT instructs him to kill the rest of the five Losers. 313 AM Nov 11 2021 Goodreads.
Stephens Karl Reinhard Aigner Basics of Oncology 2009 ISBN-10. 354092924X 375 pages PDF 6 MB. Categories for Software Engineering.
Discover short videos related to page 1098 in it book on TikTok. General directory for Dallas Texas includes address listings for businesses and individuals as well as advertisements from local businesses. Took approval from the Institutional Review Board at King Abdullah International Medical Research Center KAIMRC number IRBC164321 to conduct this study.
Download book 1098 Self accountability Is An Urgent Necessity PDF. It book page 1098 chapter 2. With repeated graphic murder.
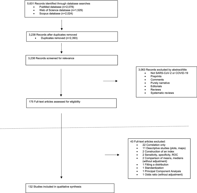
IJPT Dec-2010 Vol. RESULTS We retrieved 1557 citations from the initial database searches 1524 of which did not fit the study inclusion criteria based on. Dont read the book just stick to the movies also the pages are 1098-1104 It IT.
On page 1098 of 1504 of It - Nov 10 2021 0713PM. It is her way of bringing them all close together because they run out of matches to light their way and become. 1098 Self-accountability Is An.
Ijerph Free Full Text Improving The Indoor Air Quality In Nursery Buildings In United Arab Emirates Html
My Publications Holy Bible Page 1104 1105 Created With Publitas Com
Henry Viii September 1526 1 15 British History Online
The Laws Of Texas 1923 1925 Volume 22 Page 1 098 Of 1 648 The Portal To Texas History
Communications 1970 S 2020 2069 Unarms
Contents Science 238 4830
My Publications 11 22 63 Stephen King Page 48 Created With Publitas Com
The Physiological Control Of Eating Signals Neurons And Networks Physiological Reviews
Chapter 2 Findings Application Of Lrfd Bridge Design Specifications To High Strength Structural Concrete Shear Provisions The National Academies Press
A Multicentre Study Of Air Pollution Exposure And Childhood Asthma Prevalence The Escape Project European Respiratory Society
Pdf Constructing Living Buildings A Review Of Relevant Technologies For A Novel Application Of Biohybrid Robotics Sebastian Von Mammen Academia Edu
Microcircuits For Spatial Coding In The Medial Entorhinal Cortex Physiological Reviews
My Publications 11 22 63 Stephen King Page 49 Created With Publitas Com
Full Article Auditory Verbal Hallucinations And Childhood Trauma Subtypes Across The Psychosis Continuum A Cluster Analysis
Jordan Third Review Under The Extended Arrangement Under The Extended Fund Facility And Request For Modification Of Performance Criteria Press Release Staff Report And Statement By The Executive Director For Jordan In Imf
Flow Cytometric Bacterial Cell Counts Challenge Conventional Heterotrophic Plate Counts For Routine Microbiological Drinking Wat
Alcohol As An Antiknock Agent In Automotive Engines Industrial Engineering Chemistry